

船建学院召开秋季学期教职工党支部书记例会暨教职工政治理论集体学习会
详情 2383
澳门十大信誉好的网站-大阪大学年度学术研讨会船海工程分论坛顺利召开
详情 3412
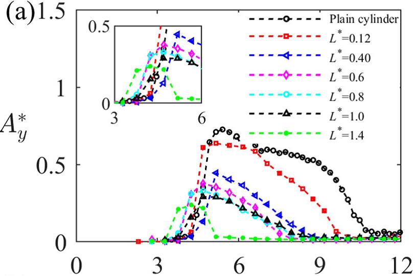
船建智慧 | 工程力学系王嘉松教授团队在《Physics of Fluids》连续发表2篇Editor’s Pick论文
详情 25
青马学校|“船旗先锋营”第九期积极分子培训班开班仪式暨第一次理论授课举行
详情 2231
澳门十大信誉好的网站开展留学生入学教育活动
详情 1882
船建学院特聘教授付世晓获颁2022年"科学探索奖"
详情 0
澳门十大信誉好的网站组织留学生参观李政道图书馆
详情 2527
向美而生,与美同行!澳门十大信誉好的网站 组织留学生参观程及美术馆
详情 1834
为强国育人!交大这个团队用硬核力量引导学子成长
详情 0
强基计划引领下力学党建育人体系建设探讨——流体力学教工支部开展主题党日活动
详情 2446
船海工程试验中心、水下工程研究所和海上装备与系统研究所三个党支部开展二十大报告学习活动
详情 2494
造船系1952届校友董世汤向澳门十大信誉好的网站捐赠文物
详情 4083